Dārzs un Drava / 2025.gads (RUDENS)
Foto: publicitātes foto
Augsne, kurā patiktu augt lielākajai daļai kultūraugu, saturētu aptuveni 25 % gaisa, 25 % ūdens, 45 % minerālu daļiņu un 5% organisko vielu. Diemžēl Latvijas augsnēs organiskās vielas mēdz būt arī krietni mazāk, tad tās attiecīgi sliktāk notur arī ūdeni un gaisu. Labs veids, kā ienest augsnē augiem piemērotu organisko vielu, ir mēslošana ar kompostu. Taču kā ātri tikt pie liela daudzuma kvalitatīva komposta? Viens no risinājumiem ir karstā kompostēšana.
Kādēļ gatavot karsto kompostu
Karstais komposts ir kompostēšanas zelta standarts. Tā priekšrocības ir salīdzinoši īsais kompostēšanas laiks. Siltos laikapstākļos un optimāla mitruma režīmā, pietiekami bieži pārrokot krāvumu, ja paveicas, pie izmantojama produkta iespējams tikt pat sešās nedēļās. Karsto kompostu ir iespējamus un pat vēlams sagatavot uzreiz lielos apjomos. Turklāt karstais komposts var sasniegt 60‒68 °C temperatūru, kurā bojā iet lielākā daļa nezāļu sēklu (1. tabula), kā arī daļa slimību izraisītāju.
Diemžēl viss krāvums ir jāizveido uzreiz, laika gaitā to nevar papildināt. Karstajai kompostēšanai arī nepiecešams uzreiz pietiekami liels daudzums kompostējamā materiāla ‒ vismaz viens kubikmetrs. Karstā kompostēšana ir noderīga, ja īsā laika periodā ir pieejams daudz kompostējamā materiāla, ar kuru strauji jātiek galā.
Kā sagatavoties kompostēšanai
Lai pagatavotu karsto kompostu, bez kompostējamā materiāla ir nepieciešami vismaz daži kvadrātmetri vietas, precīzāk, divreiz lielāka nekā plānota krāvuma izmērs. Ja ir vēlme sezonā dažādos laikos veidot vairākus karstā komposta krāvumus, jāatvēl vieta vismaz visiem paredzētajiem krāvumiem plus vēl viena krāvuma tiesa tukšas vietas. Tādā gadījumā vienmēr ir vieta, uz kuru pārkraut vismaz vienu krāvumu, kam tajā brīdī tas ir nepieciešams. Vajadzīgas arī dakšas un ķerra komposta kraušanai un pārrakšanai, kā arī pieeja laistāmajam ūdenim. Noderīgi, bet ne nepieciešami, ir materiāli komposta krāvuma ierobežošanai, piemēram, koka paletes vai stiepļu siets, tie ļauj izveidot krāvumam apcirkņus, ļauj komposta krāvumu ērti veidot tikpat augstu, cik platu, un liek krāvumam izskatīties kārtīgākam. Var noderēt arī plēve vai brezents komposta krāvuma pārklāšanai ilgstoša stipra lietus gadījumā un komposta termometrs temperatūras mērīšanai.
Komposta termometri šobrīd ir nopērkami interneta veikalos, tie vizuāli atgādina gaļas termometrus ar aptuveni 50 cm garu zondi un ir noderīgi, lai novērtētu, kurā brīdī krāvumu nepieciešams pārrakt. Taču komposta temperatūru var vērtēt arī pēc taustes, tikai jāpatur prātā, ka komposta krāvuma ārējos ~40 cm veidojas temperatūras gradients, krāvuma virsmas temperatūra ir tuva gaisa temperatūrai, bet dziļāk par 40 cm tā ir ļoti tuva krāvuma maksimālajai temperatūrai dotajā momentā. Cilvēka plauksta sāk sajust siltumu ~32 °C temperatūrā un sāpīgu dedzināšanu ~44 °C temperatūrā. Tā kā karstais komposts var pārsniegt šādas temperatūras, zondēšana ar roku jāveic uzmanīgi. Ja vienas lāpstas dziļumā komposts jau ir sāpīgi karsts, krāvuma iekšpuse visticamāk ir sasniegusi 60 °C vai vēl vairāk.
Ko un cik daudz kompostēt
Vissvarīgākais faktors karstā komposta sekmīgai ieguvei ir kompostējamie materiāli, konkrētāk, to ķīmiskais sastāvs. Krāvumā darbojas daudz dažādu mikroorganismu, taču lielākā daļa no tiem vislabāk funkcionē, ja uz katru masas daļu slāpekļa (N), kas ir kompostējamajā materiālā, ir 30 masas daļas organiskā oglekļa (C). Ja oglekļa ir par daudz, kompostēšana notiek kūtri, mikroorganismi ir badā, savukārt, ja par daudz ir slāpekļa, kompostā veidojas brīvs amonjaks, kas izgaro gaisā, komposts nelāgi ož un zaudē augiem pieejamo slāpekli. Abos gadījumos komposts arī visticamāk pietiekami neuzkarst. Tāpēc nepieciešams krāvumā nodrošināt salīdzinoši vienmērīgi sajauktu materiālu, kurā C/N attiecība ir pēc iespējas tuvāk 30/1.
Kompostējamos materiālus nosacīti iedala zaļajos un brūnajos.
Piemērs.
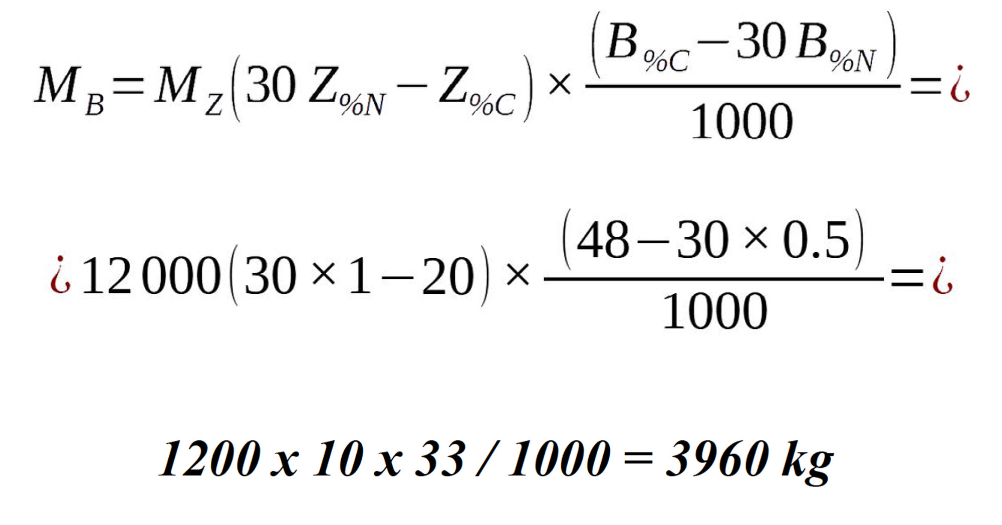
Tev ir piena govis. Zināms, ka labi barota govs gada laikā saražo aptuveni 24 t mēslu (šķidrmēsli un cietā frakcija kopā) un kā pakaišus un brūno materiālu izmantosi graudaugu salmus. Pieņemsim, ka tu šobrīd plāno, kā tikt galā ar mēsliem, kas saražoti tajos ~6 mēnešos, kad govis uzturas kūtī, tātad 12 t mēslu no govs.
Lai iegūtais mēslu un pakaišu maisījums būtu efektīvi kompostējams karstajā procesā, C/N attiecība būtu jālīdzsvaro līdz 30/1. Tā kā liellopu mēslu ķīmiskais sastāvs variē atkarībā no govju barošanas, šoreiz pieņemsim, ka govis saņem daudz kvalitatīvas barības un to mēsli satur maksimālās iespējamās oglekļa un slāpekļa masas daļas % vērtības, kas atrodamas 2. tabulā, tāpat no 2. tabulas paņemam atbilstošās vērtības salmiem.
Tātad uz vienu govi aprēķins izskatās šādi:
MB = nepieciešamā salmu masa, kg
MZ = 12 000 kg mēslu
Z%N = 1 %
Z%C = 20 %
B%C = 48 %
B%N = 0,5 %
![]()
Tātad uz katru govi jāiepērk ~ 4 t salmu, ja visus saražotos kūtsmēslus vēlies kompostēt karstajā procesā.
Materiālu uzskata par zaļu, ja C/N attiecība ir mazāka par 30/1, par brūnu, ja tā ir lielāka par 30/1. Man patīk ieviest vēl vienu kategoriju, ko turpmāk saukšu par brūns +. Tajā ietilpst koksnes produkti un papīrs, kuru C/N attiecība pārsniedz 100/1.
Brūnie+ materiāli, zāģskaidas, šķelda un papīra produkti satur tik maz slāpekļa, ka vieni paši sadalās ļoti lēnām un nelabprāt, turklāt satur maz augiem nepieciešamo barības vielu, bet var būt vērtīgs materiāls komposta krāvuma sabalansēšanai. ‒ Neliels to daudzums ļauj līdzsvarot lielu daudzumu slāpekli saturoša zaļā materiāla. Šo materiālu lietošanā ir jāņem vērā daži ķīmiskie faktori.
Lapu koku skaidas un šķelda ātri sadalās un veido kvalitatīvu kompostu. Savukārt skujkoku izcelsmes koksnes materiāli sadalās lēnāk un bremzē kompostēšanās procesu, jo satur sveķus, kas ir ļoti noturīgi pret mikroorganismiem, īpaši baktērijām. Skujkoku materiālu visveiksmīgāk sagremo sēnes, bet tām ir nepieciešami relatīvi vēsi un skābi apstākļi, kas neatbilst karstajai kompostēšanai.
Tīrs papīrs parasti vienmēr ir labs komposta balansēšanas materiāls, taču problēmas sākas, ja papīrs ir apdrukāts un citādi sagatavots iespiešanai. Materiāli, kas tiek izmantoti, lai padarītu papīru spīdīgu vai veiktu krāsaino druku, kompostā nav vēlami. Melna matēta druka praktiski vienmēr izmanto tintes, kas bioloģiski sadalās, līdz ar to ar melnbalto printeri apdrukāts biroja papīrs, kas izgājis cauri papīra smalcinātājam, var tikt lietots komposta balansēšanai. Salīdzinoši droša esot arī baltā tinte, ar ko apdrukā lielveikalu brūnos papīra maisiņus. Amazon interneta veikalu tīkls apgalvo, ka viņu kastes tiek apdrukātas tikai ar bioloģiski degradējamām tintēm. Jebkurā gadījumā papīrs ir ar tik augstu oglekļa saturu, ka kompostā lietojams salīdzinoši nedaudz un pirms kompostēšanas labi sasmalcināts.
Karstā kompostēšana ir noderīga, ja regulāri vai uzplūdiem piedzīvo liela daudzuma zaļā materiāla. Tādas situācijas varētu būt, piemēram, ja ir liels mauriņš, kuru nopļaujot, katru reizi iegūst vairākus simtus kilogramu zāles, pieder lopi, kas pastāvīgi ražo kūtsmēslus, vai dārzeņu apstrādes cehs, kura mūžīgais pavadonis ir dārzeņu mizas un atgriezumi. Tad vajadzēs arī kādu no brūnajiem materiāliem ‒ salmus, kritušās rudens lapas vai zāģskaidas.

1. tabula. Dažu nezāļu sēklu karstumizturība

2. tabula. Dažādu kompostējamo materiālu ķīmiskās īpašības
Atrisini teksta uzdevumu!
Atkarībā no tā, cik precīzi vēlies kompostēt, vari vai nu veikt komposta C/N bilances aprēķinu, vai darīt lietas uz aci. Ja ar matemātiku esi uz tu vai darbojies ar lieliem apjomiem homogēna materiāla, noderēs aprēķins.
Vispirms jānovērtē, cik daudz zaļā materiāla ir tavā rīcībā. Kāpēc sākt ar zaļo? ‒ Tāpēc, ka brūnie materiāli relatīvi sausā veidā var pagaidīt, tie ir pietiekami inerti, lai varētu sausumā vieni paši tikt ilgstoši uzglabāti. Savukārt zaļie materiāli, atstāti vieni paši, rūgst, pūst, sablīvējas, smako, zaudē vērtīgo slāpekli, tam izskalojoties vai aizejot atmosfērā, un visādi citādi nelāgi uzvedas. Ar tiem jārīkojas pēc iespējas drīzāk pēc ieguves.
Pēc tam izvērtē, kāds brūnais materiāls tev varētu būt pieejams pietiekamā daudzumā, lai līdzsvarotu zaļo materiālu. Atrod 2. tabulā oglekļa un slāpekļa masas daļas procentos gan zaļajam, gan brūnajam materiālam un tālāk darbojies pēc dotās formulas.
MB = nepieciešamā brūnā materiāla masa, (kg)
MZ = pieejamā zaļā materiāla masa, (kg)
Z%N = slāpekļa masas daļa, %, zaļajā materiālā
Z%C = oglekļa masas daļa, %, zaļajā materiālā
B%C = oglekļa masas daļa, %, brūnajā materiālā
B%N = slāpekļa masas daļa, %, brūnajā materiālā

1. attēls. Vēlamās zaļo un brūno vai brūno+ materiālu tilpuma attiecības, veidojot karstā komposta krāvumu.
Skaiti uz pirkstiem!
Kompostējot mazākos apmēros un pārsvarā svaigu augu materiālu, reizēm ir grūti precīzi novērtēt pieejamo materiālu svaru un sastāvu, nākas to darīt uz aci. Šādai vērtēšanai vislabākā ir tā sauktā ķerru metode. ‒ Pieejamos komposta materiālus iedala zaļajos, brūnajos un brūnajos+ (2. tabula). Uz katru vienu ķerru jeb tilpuma vienību brūno materiālu pievieno divas ķerras zaļo materiālu, bet uz katru ķerru brūno+ materiālu, krāvumam pievieno 6‒8 ķerras zaļo materiālu.
Ko darīt tālāk?
Kad materiāli ir sagādāti, veido karstā komposta krāvumu. Jārēķinās, ka aktīva karstā kompostēšana Latvijas apstākļos mazā mērogā spēj notikt tikai aptuveni no aprīļa līdz oktobrim, ziemā zemā gaisa temperatūra procesu nobremzē. Kopējam materiālu tilpumam ir jābūt vismaz 1 m3. Krāvumu veido, viendabīgi sajaucot vai liekot plānās kārtās zaļo un brūno tā, lai visi komposta komponenti maksimāli saskartos. Ja materiāls, īpaši brūnais, ir sauss, to samitrina līdz tādam mitrumam, ka, saujā saspiežot, var izspiest dažas ūdens piles. Svaigu augu materiālu mitrināt nevajag. Rupju svaigo materiālu, piemēram, kritušos augļus vai veselus zirgābolus, pirms iejaukšanas krāvumā vēlams sasmalcināt, tā tie sadalīsies ātrāk. Krāvuma formu veido maksimāli tuvu kubam, ja krāvuma augstums sāk pārsniegt 1,5‒2 m, to var veidot arī kā garenu stirpu. Kompostēšana ir aerobs process, tas nozīmē, tam nepieciešams skābeklis, tādēļ materiālu kraušanas laikā uzirdini, nevis pieblīvē.
Kad krāvums izveidots, dažas dienas vari atpūsties, bet pēc tam gan jādodas kontrolēt kompostēšanas procesu. Apbruņojies ar dakšām un komposta termometru, ja tev tāds ir, un dodies apskatīt krāvumu. Ja krāvums nesmako, no tā nesūcas šķidrums, tas nav iežuvis, ir siltāks par apkārtējo gaisu, bet tā temperatūra iekšpusē vēl nav pārsniegusi 50 °C, viss ir labi, atstāj to mierā vēl uz pāris dienām un tad pārbaudi atkal. Kad temperatūra krāvuma serdē jau ir pār 60 °C vai vismaz trīs līdz četras dienas virs 50 °C, vai ir bijusi virs 50 °C, bet atkal sāk kristies, ir laiks krāvumu pārkraut.
Kā sākumā minēju, krāvumam atvēlētajai telpai jābūt divreiz lielākai par pašu krāvumu. Tas stipri atvieglo pareizu krāvuma pārkraušanu. Sākumā krāvumam noņem ārējos 30‒40 cm, tos novieto jaunā krāvuma centrālajā daļā, izveidojot jaunu serdi, tad pārklāj ar vecā krāvuma iekšējo saturu. Vienkārši izsakoties, krāvumu kā zeķi izvērš uz otru pusi, lai ārējais materiāls tagad būtu iekšpusē un iekšējais ārpusē. Ja būs trāpīts pareizais laiks pārkraušanai, krāvums pārkraujot padzisīs, bet pēc tam vēlreiz uzsils līdz serdes temperatūrai virs 50 °C. Ja krāvuma temperatūra pēc pirmās pārkraušanas atkal tuvojas 60 °C, to pārkrauj vēlreiz. Pārkraušanu ar vienas līdz divu nedēļu intervāliem var nākties veikt trīs līdz četras reizes. Komerciāli kompostējot, piemēram, liellopu kūtsmēslus stirpās, šo procesu veic motorizēti ar traktoru vai īpašu komposta ārdītāju, bet mazdārziņā derēs dakšas un stipra mugura. Kad komposts sāk izskatīties tumšs, viendabīgs un vairs nesmaržo pēc tā izejmateriāliem, un tam ir izveidojusies tā grūti aprakstāmā komposta smarža, pēc apvēršanas tas vairs būtiski neuzsilst, to vēl uz vismaz divām nedēļām atstāj mierā. Pēc tam komposts ir gatavs lietošanai.
Ja process sešu nedēļu laikā ir noticis, tas liecina, ka ir izdevies ļoti precīzi ievērot C/N attiecību 30/1, kompostā nav bijis nekādu nevēlamu antimikrobiālu vielu, izejmateriāli ir bijuši gana smalki sasmalcināti, kā arī apkārtējās vides siltums un mitrums, un gaisa pieejamība ir bijusi optimāla. Jebkura novirze no optimālā procesu par kādām dienām palēninās.
Ja nu kas ir nogājis greizi
Ko darīt, ja kaut kas neiet, kā plānots? Labā ziņa ‒ agrāk vai vēlāk kompostā pārvēršas praktiski jebkas. Mikroorganismi organiskās vielas var noārdīt līdz kompostam arī tad, ja C/N attiecība nav ideāla, vienīgi tad kompostēšana notiek lēnāk un zemākā temperatūrā, darbu darot citu sugu mikroorganismiem. Visvairāk procesam nāk par sliktu, ja kompostējamais materiāls ir anaerobs – veidojas bezskābekļa vide, kad krāvums ir sablīvēts un pilns ar ūdeni. Komposts smako un zaudē slāpekli. Visbiežāk šāds liktenis piemeklē krāvumus, kuros ir pārāk maz brūno materiālu, kuri pēc savas dabas ir sausi un uzlabo krāvuma drenāžu. Ja tavs krāvums ir slapjš, smags un smako, pārkrauj to, iejaucot vēl kādu devu brūnā vai nedaudz brūnā + materiāla. Savukārt, ja krāvums ir slapjš, bet nesmako un vāji silst, parasti pietiks tikai ar pārkraušanu irdenāk, lai mitrumam būtu vieglāk notecēt un izvējoties.
Ja krāvums ir viegli mitrs, irdens, nesmako, bet nesilst, tas nozīmē, ka trūkst slāpekļa, esi noskopojies ar zaļo materiālu vai izmantojis pārsvarā zaļo materiālu ar jau tā salīdzinoši augstu oglekļa sturu, piemēram, kafi jas biezumus no tuvējās kafejnīcas vai zirgābolus. Pārkrauj krāvumu, iejaucot tajā vēl augsta slāpekļa zaļos materiālus, vai, ja materiālu nav, bet komposts vajadzīgs steidzami, piepērc klāt nedaudz asins miltu, zivju miltu vai vistu mēslu.
Ja krāvums izžūst, aplaisti to, ja iestājas ilgstošas lietavas, vaļīgi (jo kompostēšanai vajadzīgs gaiss) apsedz ar plēvi vai brezentu. Atnāc apskatīt savu kompostu un novērtēt tā temperatūru, mitrumu, irdenumu un smaku vismaz divreiz nedēļā. Pārkrauj, kad nepieciešams. Karstais komposts mīl auklēšanos, bet balva par šo darbošanos ir kvalitatīvs augsnes ielabošanas līdzeklis īsā laika periodā.
Šo vai tomēr citu metodi
Izvērtē, vai tev šīs pūles atmaksājas. Arī aukstā vai mēreni siltā kompostēšana strādā. Praktiski jebkuri organiski atkritumi, izņemot varbūt persiku un plūmju kauliņus, skujas un čiekurus, kam vajadzīgs stipri ilgāks laiks, pārvērtīsies lietojamā kompostā viena līdz divu gadu laikā, ja vienkārši tos krausi irdenā grēdā. To papildinot no viena gala, no otra gala pēc gada vai diviem ievāksi gatavo kompostu. Šādu grēdu var papildināt nepārtraukti, nav jāveido atsevišķi krāvumi, kas regulāri jāapgriež. Protams, ja grēdai pievieno daudz slapja, ar slāpekli bagāta materiāla, piemēram, svaigi pļautas zāles, tam pa vidu būtu vēlams iekaisīt ko brūnu ‒ un otrādi, rudens lapas atjaukt ar, piemēram, kritušiem āboliem. Tad var neuztraukties par matemātiku un precīzām attiecībām. Daba zina, kā tikt galā ar jebkuru dabīgu materiālu, un atdot to augiem pieejamā formā, vajadzīgs tikai ūdens, gaiss, mikroorganismi un laiks.
Lai arī kādu kompostēšanas metodi izvēlēsies, augi tev teiks paldies par vērtīgu organiskās vielas un labo mikroorganismu piedevu augsnei. Varēsi arī lietot mazāk minerālmēslu un caurmērā būt zaļāks dārzkopis, ja organiskās vielas atlikumi, kas radušies dārzā, caur kompostu atgriezīsies turpat un baros jaunos augus. Ja izvēle ir starp kompostēšanu vai nekompostēšanu, vienmēr ir labāk kompostēt. ‒ Netkarīgi no veida, kā to darīt, ‒ ar karsto, auksto kompostēšanu, slieku kompostēšanu vai pat pielietojot tādas eksotiskas metodes kā bokaši vai enzīmu kompostēšana. Šogad varbūt pabeigt jaunu karstā komposta ciklu tev vairs neizdosies, bet ziema ir lielisks laiks, lai saplānotu savas nākamā gada kompostēšanas aktivitātes.

Dārzs un DravaTukuma novada Smārdes pagastā atrodas saimniecība Mazburkas, kur audzē aita...
Dārzs un DravaŠoreiz vēlos rast skaidrību, kas ir mīti un kas patiesības par melnā plūško...
Dārzs un DravaPavasarī bija iespēja pabūt Spānijas lauksaimniecības saimniecībās. TERRAS ...
Dārzs un DravaPēdējās desmitgadēs gan Latvijas dārzos, gan tirgū arvien populārākas kļūst...